반응형
자격증 준비하면서 내가 이해하기 편하게, 다시 보기 좋게 정리하는 정보처리기사의 내용 (자격증 상세 내용은 아래)
http://www.q-net.or.kr/crf005.do?id=crf00505&gSite=Q&gId=
http://www.q-net.or.kr/crf005.do?gId=&gSite=Q&id=crf00505
www.q-net.or.kr
자료구조와 정렬 부분을 정리한 내용
배열
- 크기와 형(Type)이 동일한 자료들이 순서대로 나열된 자료의 집합
- 반복적인 데이터 처리 작업에 적합한 구조
- 데이터 삭제 시 기억장소에 빈 공간으로 남아 메모리의 낭비가 발생
연속 리스트
- 배열과 같이 연속되는 기억장소에 저장되는 자료 구조
- 중간에 데이터 삽입을 위해 연속된 빈 공간 필요
- 삽입, 삭제 시 자료의 이동 필요
연결 리스트
- 자료들의 임의의 기억공간에 노드의 포인터 부분을 이용하여 서로 연결시켜 기억시킨 자료 구조
- 연결을 위한 링크(포인터)가 필요하기 때문에 기억 공간의 이용 효율 나쁨
- 접근 속도가 느리고, 연결이 끊어지면 다음 노드를 찾기 어려움
스택(Stack)
- 리스트의 한쪽 끝으로만 자료의 삽입, 삭제가 이루어지는 자료 구조
- 후입선출(LIFO) 방식으로 자료 처리
- 저장할 기억 공간이 없는 상태에서 데이터가 삽입(push)되면 오버플로우(Overflow) 발생
- 삭제할 데이터가 없는 상태에서 데이터를 삭제(pop)하면 언더플로우(underflow)가 발생
큐(Queue)
- 리스트의 한쪽에서 삽입 작업이 이루어지고 다른 한쪽에서는 삭제 작업이 이루어지는 자료 구조
- 선입선출(FIFO) 방식으로 자료 처리
- 시작을 표시하는 프런트(Front)와 끝을 표시하는 리어(Rear) 포인터 존재
그래프(Graph)
- 정점과 간선의 두 집합으로 이루어진 자료 구조
- 사이클이 없는 그래프는 트리
- 간선의 방향성 유무에 따라 방향 그래프(최대 간선수 n(n-1)), 무방향 그래프로 구분(최대 간선수 n(n-1)/2))
트리(Tree)
- 정점(노드)과 선분(가지)을 이용하여 사이클을 이루지 않도록 구성한 그래프의 특수형태
- 노드 : 트리의 기본 요소로 자료 항목과 다른 항목에 대한 가지를 합친 것
- 근 노드 : 트리의 맨 위에 있는 노드
- 차수(degree) : 각 노드에서 뻗어 나온 가지의 수
- 단말 노드(잎 노드) : 자식이 하나도 없는 노드 (차수 = 0)
- 비단말 노드 : 자식이 하나라도 있는 노드 (차수 > 0)
- 조상 노드 : 임의의 노드에서 근 노드에 이르는 경로상에 있는 노드
- 자식 노드 : 어떤 노드에 연결된 다음 레벨의 노드
- 부모 노드 : 어떤 노드에 연결된 이전 레벨의 노드
- 형제 노드 : 동일한 부모를 갖는 노드
- 레벨(Level) : 근 노드의 레벨을 1로 가정한 후, 어떤 레벨이 x면 자식 노드는 x+1
- 깊이 : 트리에서 노드가 가질 수 있는 최대 레벨
- 숲 : 여러 개의 트리가 모여 있는 것
- 트리의 디그리 : 노드들의 디그리 중에서 가장 많은 수
이진트리
- 차수가 2 이하인 노드들로 구성된 트리
- 레벨 x에 대해 최대 노드의 수는 2^(x-1)
- 단말노드의 수가 a, 차수가 2인 노드의 수를 b라 하면 a= b+1
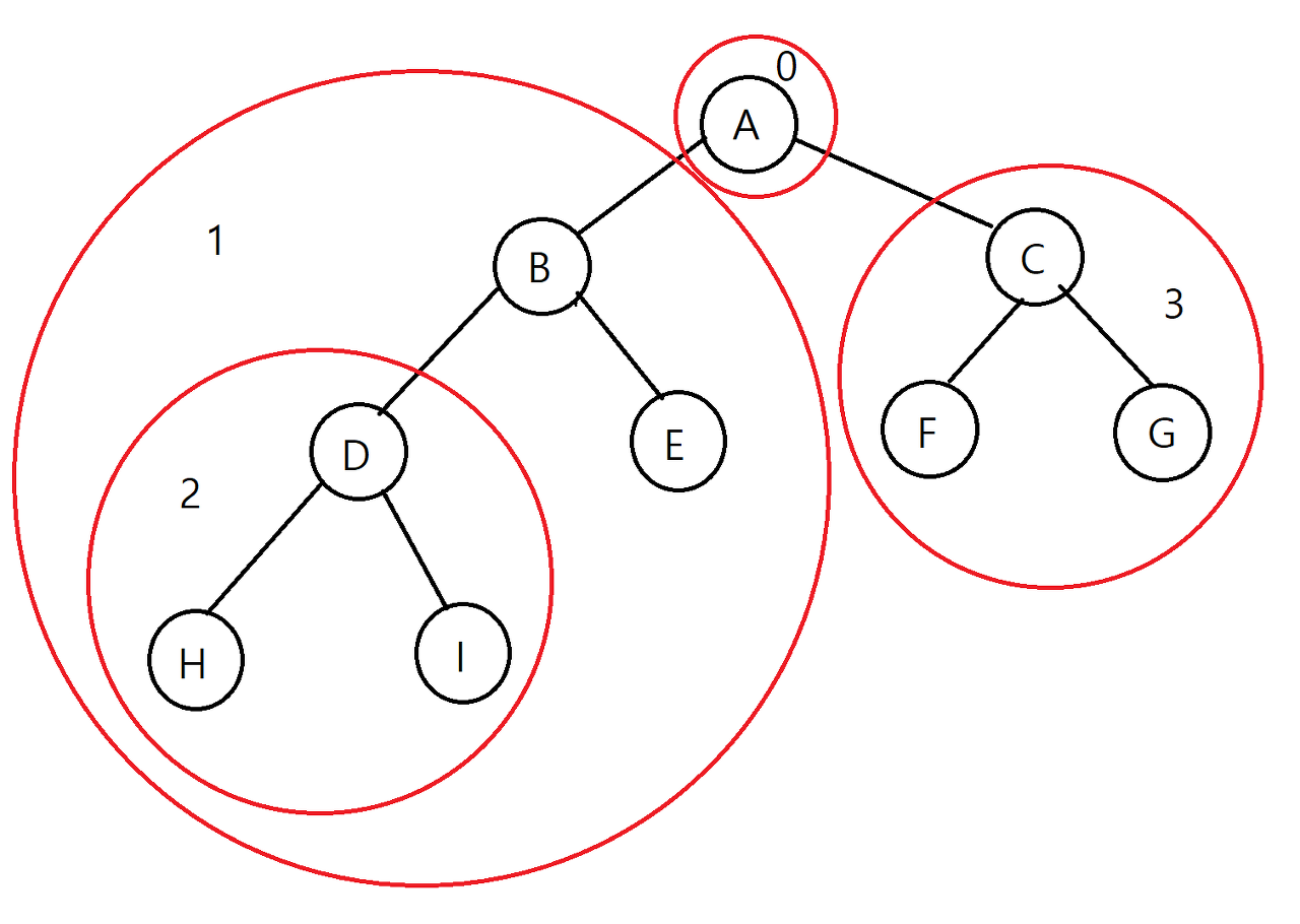
전위 순회(Preorder) 운행법
- 이진트리를 부모 노드 → 왼쪽 자식 노드 → 오른쪽 자식 노드의 순서로 찾아가는 방법
순회 과정

- 전위 순회로 순차적으로 순회할 경우 탐색 순서는 0 → 1 → 3의 순서로 탐색
- 여기서 1의 왼쪽 서브트리에 2가 있으므로 0 → 1 → 2 → 3으로 탐색
- 노드 순서는 A → B → D → H → I → E → C → F → G
반응형
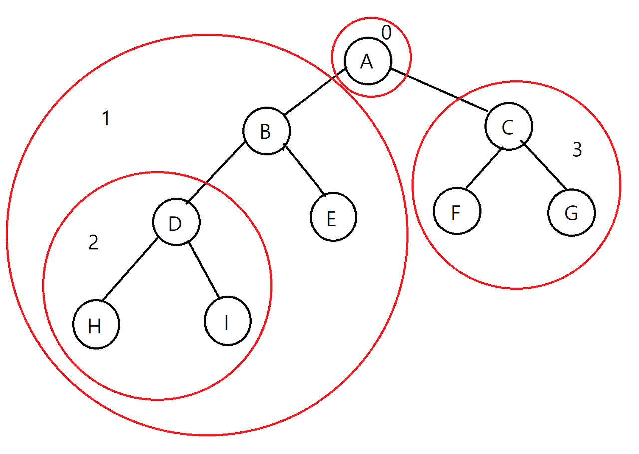
중위 순회(inorder traversal)
- 왼쪽 자식노드 → 부모 노드 → 오른쪽 자식 노드 순으로 방문
순회 과정

- 중위 순회로 순차적으로 순회할 경우 탐색 순서는 1 → 0 →3의 순서로 탐색
- 여기서 1의 왼쪽 서브트리에 2가 있으므로 2 → 1 → 0 → 3 →으로 탐색
- 노드 순서는 H → D → I → B → E → A → F → C → G
후위 순회(postorder traversal)
- 왼쪽 자식노드 → 오른쪽 자식 노드 → 부모 노드 순으로 방문
순회 과정

- 후위 순회로 순차적으로 순회할 경우 탐색 순서는 1 → 3 → 0
- 여기서 1의 왼쪽 서브트리에 2가 있으므로 2 → 1 → 3→ 0으로 탐색
- 노드 순서는 H → I → D → E → B → F → G → C → A
수식의 표기법
ex) X = A/B *(C+D) + E
- 전위 표기 방법
- 연산 우선순위에 따라 괄호를 묶는다. → (X = (((A/B)*(C+D))+E))
- 연산자를 해당 괄호의 앞으로 옮긴다. → =(X+(*(/(AB)+(CD))E))
- 괄호 제거 → =X+*/AB+CDE
- 후위 표기 방법
- 연산 우선순위에 따라 괄호를 묶는다. (X = (((A/B)*(C+D))+E))
- 연산자를 해당 괄호의 뒤로 옮긴다. → (X((AB)/(CD)+)*)+)=
- 괄호 제거 → XAB/CD+*E+=
삽입 정렬
- 이미 순서화된 파일에 새로운 하나의 레코드를 순서에 맞게 삽입시켜 정렬하는 방식
- 평균과 최악 모두 수행 시간 복잡도 O(n²)
- ex ) 8, 5, 6, 2 4를 삽입 정렬로 정렬
- 1회 → 5, 8, 6, 2, 4 (두 번째 값을 첫 번째 값과 비교하여 5를 첫 번째 자리에 삽입)
- 2회 → 5, 6, 8, 2, 4 (세 번째 값을 첫 번째 값과 비교하여 6을 8자리에 삽입)
- 3회 → 2, 5, 6, 8, 4 (네 번째 값을 처음부터 비교하여 맨 처음에 삽입)
- 4회 → 2, 4, 5, 6, 8 (다섯 번째 값 4를 처음부터 비교하여 5자리에 삽입)
선택 정렬
- 최솟값을 찾아 첫 번째 레코드 위치에 놓고, 다시 최솟값을 찾아 두 번째 레코드 위치에 놓는 방식을 반복하는 정렬 방식
- 평균과 최악 모두 수행 시간 복잡도 O(n²)
- ex ) 8, 5, 6, 2 4를 선택 정렬로 정렬
- 1회 → 2, 8, 6, 5, 4 (첫 번째 레코드와 뒤 레코드를 반복해서 비교 후, 최솟값을 첫 번째 레코드에 놓기 반복)
- 2회 → 2, 4, 8, 6, 5 (두 번째 레코드와 뒤 레코드를 반복해서 비교 후, 최솟값을 두 번째 레코드에 놓기 반복)
- 3회 → 2, 4, 5, 8, 6 (세 번째 레코드와 뒤 레코드를 반복해서 비교 후, 최솟값을 세 번째 레코드에 놓기 반복)
- 4회 → 2, 4, 5, 6, 8 (네 번째 레코드와 뒤 레코드를 반복해서 비교 후, 최솟값을 네 번째 레코드에 놓기 반복)
버블 정렬
- 인접한 두 개의 레코드 키 값을 비교하여 그 크기에 따라 레코드 위치를 서로 교환하는 정렬
- 평균과 최악 모두 수행 시간 복잡도 O(n²)
- ex ) 8, 5, 6, 2 4를 버블 정렬로 정렬
- 1회 → 5, 6, 2, 4, 8 (첫 번째 레코드와 두 번째 레코드 비교, 두 번째 레코드와 세 번째 레코드 비교 ··· )
- 2회 → 5, 2, 4, 6, 8
- 3회 → 2, 4, 5, 6, 8
- 4회 → 2, 4, 5, 6, 8
쉘 정렬
- 매개변수의 값으로 서브파일을 구성하고 각 서브 파일을 삽입 정렬 방식으로 순서 배열하는 정렬 방식
- 삽입 정렬을 확장한 개념
- 평균 수행 시간 복잡도는 O(n^1.5), 최악의 경우 O(n²)
퀵 정렬
- 키(Pivot)를 기준으로 작은 값은 왼쪽, 큰 값은 오른쪽 서브 파일에 분해시키는 정렬 방식
- 레코드의 많은 자료 이동을 없애고 하나의 파일을 부분적으로 나누어가며 정렬
- 평균 수행 시간 복잡도는 O(nlog₂n) 최악의 경우 O(n²)
힙 정렬
- 전이진트리를 이용한 정렬 방식
- 구성된 전 이진트리를 힙 트리로 변환하여 정렬
- 평균과 최악 모두 수행 시간 복잡도 O(nlog₂n)
2-way 합병 정렬
- 이미 정렬되어 있는 두 개의 파일을 한 개의 파일로 합병하는 정렬 방식
- 평균과 최악 모두 수행 시간 복잡도 O(nlog₂n)
기수 정렬
- 큐(Queue)를 이용하여 자릿수(Digit) 별로 정렬하는 방식
- 평균과 최악 모두 수행 시간 복잡도 O(dn)
뒤로 이어지는 내용
https://edder773.tistory.com/183
[정보처리기사 실기] 통합 구현 정리
자격증 준비하면서 내가 이해하기 편하게, 다시 보기 좋게 정리하는 정보처리기사의 내용 (자격증 상세 내용은 아래) http://www.q-net.or.kr/crf005.do?id=crf00505&gSite=Q&gId= http://www.q-net.or.kr/crf005.do?gId=&gSit
edder773.tistory.com
반응형
'자격증 > 정보처리기사' 카테고리의 다른 글
| [정보처리기사 실기] 개발 환경 및 객체지향 모듈 정리 (0) | 2023.04.16 |
|---|---|
| [정보처리기사 실기] 통합 구현 정리 (0) | 2023.04.16 |
| [정보처리기사 실기] 정규화 및 데이터베이스 보안 정리 (0) | 2023.04.16 |
| [정보처리기사 실기] 데이터베이스와 관계형 데이터베이스의 개요 (0) | 2023.04.14 |
| [정보처리기사 실기] 비용 산정 기법 & 소프트웨어 개발 정리 (0) | 2023.04.12 |
댓글